Le score de toutes les questions, peu importe leur échelle de notation, est toujours calculé sur 10 ou en pourcentage (%) afin de pouvoir comparer les questions entre elles.
Le résultat de ce calcul est un chiffre entre 0 et 10 (0 % et 100 % si le résultat est affiché en pourcentage). Une note près de 0 signifie que les employés ont majoritairement sélectionné l'option la plus basse. À l'inverse, une note près de 10 signifie que les employés ont majoritairement sélectionné l'option la plus élevée.
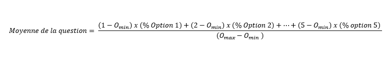
Méthode de calcul
Vous trouverez ci-dessous la formule de calcul. Descendez un peu plus bas pour voir un exemple concret.

Élément de la formule
| Définition
|
Omin
| C'est la valeur de l'option minimale. Sur une échelle de 1 à 7, Omin est 1.
Sur une échelle de 0 à 10, Omin est 0.
Sur une échelle de choix multiple, Omin est toujours 1.
|
Omax
| C'est la valeur de l'option maximale.
Sur une échelle de 1 à 7, Omax est 7.
Sur une échelle de 0 à 10, Omax est 10.
Sur une échelle de choix multiple, Omax est toujours le nombre d'options.
|
% Option ?
| C'est le pourcentage de répondants ayant répondu cette option.
Par exemple, le libellé (% Option 1) équivaut au pourcentage de répondants ayant sélectionné l'option 1
|
Pourquoi ne peut-on pas diviser par le nombre d'options, tout simplement?
Vous vous demandez peut-être pourquoi, dans une question de 1 à 5 par exemple, on doit soustraire Omin de chaque option de réponse et utiliser le dénominateur (Omax - Omin).
Le plus simple est de l'imager avec un exemple :
Imaginez que 100 % des répondants ont répondu l'option du milieu : ni d'accord, ni en désaccord.
Si on appliquait la formule simple suivante : (100 % * 3/ 5), le résultat serait 60 %. Or, c'est incorrect puisque 100 % des répondants attribuent la valeur neutre, donc le résultat doit être 50 %.
Le résultat adéquat de cette question est (100 % * (3 - 1) / (5 - 1) = 50 %.
Ne pas utiliser la formule adéquate créera toujours un biais positif dans vos résultats, peu importe la répartition des options choisies.
Exemple de calcul
Prenons l'exemple de la question à choix multiples ci-dessous :
Les valeurs sont les suivantes :
- Option #1 : Fortement en désaccord : 7 %
- Option #2 : Plutôt en désaccord : 0 %
- Option #3 : Ni d'accord, ni en désaccord : 27 %
- Option #4 : Plutôt d'accord : 33 %
- Option #5 : Fortement d'accord : 33 %
NOTE : Il est possible que le calcul manuel du total de chacune des options n'égale pas 100 % en raison de l'arrondissement des pourcentages à zéro décimale.
Application de la fomule
- Omin est 1 puisque nous utiliserons l'ordre des choix comme étant la valeur de l'option.
- Omax est 5 puisqu'il y a 5 choix de réponses.
- Le libellé (% Option 1) équivaut au pourcentage de répondants ayant sélectionné l'option 1. Dans l'exemple de la question ci-dessus, 7 % des gens ont sélectionné l'option #1, soit fortement en désaccord.
La formule pour notre exemple est donc :

Note : Comme vous pouvez le constater dans cet exemple, la formule semble donner un résultat de 71,25 % alors que la plate-forme affiche 72 %. Il s'agit tout simplement d'une question d'arrondis. La plate-forme utilise les valeurs exactes alors que nous avons utilisé des valeurs arrondies. Le résultat parfait est celui affiché dans la plate-forme. Notons tout de même qu'entre 71,25 % ou 72 %, il n'y a aucune différence d'interprétation!